Exploring Machine Learning Capabilities in the Scheme Programming Language
Hello, fellow Scheme enthusiasts! In this blog post, we will explore the fascinating world of Machine Learning in Scheme Programming Language. Machine Learning is an exciting field that empowers computers to learn from data, improve over time, and make predictions or decisions based on that data. While many languages like Python and R are popular for Machine Learning, Scheme offers a unique approach with its simple syntax and powerful symbolic processing capabilities. In this post, we will introduce the fundamental concepts of Machine Learning, how they can be implemented in Scheme, and the tools available for building models. By the end, you will understand how to approach machine learning tasks using Scheme and its capabilities for data manipulation and algorithm design. Let’s dive in!
Table of contents
- Exploring Machine Learning Capabilities in the Scheme Programming Language
- Introduction to Machine Learning in Scheme Programming Language
- Basic Algorithm Implementation
- Symbolic AI and Knowledge Representation
- Custom Data Structures for Machine Learning
- Handling Custom Models and Hyperparameters
- Why do we need Machine Learning in Scheme Programming Language?
- Example of Machine Learning Capabilities in the Scheme Programming Language
- Advantages of Using Scheme for Machine Learning
- Disadvantages of Using Scheme for Machine Learning
- Future Development and Enhancement of Using Scheme for Machine Learning
Introduction to Machine Learning in Scheme Programming Language
Machine Learning (ML) is a rapidly growing field that focuses on developing algorithms capable of learning from data and making predictions or decisions without being explicitly programmed. The Scheme programming language, known for its simplicity and powerful symbolic processing, offers a unique environment for experimenting with machine learning techniques. While Scheme is not traditionally associated with ML, its flexibility and minimalistic syntax make it a great language for prototyping and exploring fundamental machine learning concepts.
In this post, we’ll explore how you can leverage Scheme for machine learning tasks, from implementing basic algorithms to understanding data manipulation, and how it fits into the broader ML landscape. Whether you’re just starting with ML or are looking to experiment with alternative programming paradigms, Scheme offers a fresh approach to this exciting field. Let’s get started with learning how to apply machine learning in Scheme!
What are the Machine Learning Capabilities in Scheme Programming Language?
Machine learning in Scheme is not as commonly used or as straightforward as in other languages like Python, which have dedicated libraries like TensorFlow or scikit-learn. However, Scheme’s minimalist, functional nature allows for the implementation of fundamental machine learning algorithms and custom models. Below are some of the key machine learning capabilities in Scheme, along with a simple example:
Basic Algorithm Implementation
Scheme is a functional language that can be used to implement basic machine learning algorithms like linear regression, k-nearest neighbors, or even decision trees. You can implement such algorithms from scratch by leveraging Scheme’s powerful list manipulation and recursion features.
Example: Simple Linear Regression
In this example, we’ll implement a simple linear regression algorithm in Scheme to fit a line to a set of data points. The goal is to minimize the mean squared error (MSE) between the actual data points and the predicted values from the line.
(define (mean lst)
(/ (apply + lst) (length lst)))
(define (mse predicted actual)
(define (squared-diff p a) (expt (- p a) 2))
(mean (map squared-diff predicted actual)))
(define (linear-regression xs ys)
(define x-mean (mean xs))
(define y-mean (mean ys))
(define numerator (apply + (map * (map - xs (make-list (length xs) x-mean))
(map - ys (make-list (length ys) y-mean))))))
(define denominator (apply + (map (lambda (x) (expt (- x x-mean) 2)) xs)))
(define slope (/ numerator denominator))
(define intercept (- y-mean (* slope x-mean)))
(list slope intercept))
(define xs '(1 2 3 4 5)) ; Independent variable (X)
(define ys '(2 4 5 4 5)) ; Dependent variable (Y)
(define model (linear-regression xs ys))
(define slope (car model))
(define intercept (cadr model))
(display (list 'slope slope 'intercept intercept))
- In this simple example:
- We use a function
linear-regressionthat calculates the slope and intercept of the line of best fit for the given data points (xsandys). - The function uses basic arithmetic and Scheme’s
mapfunction to calculate the necessary sums for slope and intercept. - We calculate the mean squared error (MSE) using the
msefunction to measure the performance of the model.
- We use a function
Symbolic AI and Knowledge Representation
Scheme is often used in symbolic AI, where models are built based on rules, logic, and reasoning. Scheme’s natural ability to handle symbolic expressions makes it an excellent candidate for implementing symbolic AI techniques. These techniques can be adapted for use in machine learning scenarios, especially in tasks like rule-based learning and symbolic decision-making.
Example: Rule-Based Decision Making
In this simple example, we define rules to determine the diagnosis based on symptoms. This mimics symbolic reasoning in a simple form.
(define (diagnose symptoms)
(cond ((and (mem 'fever symptoms) (mem 'cough symptoms)) 'flu)
((mem 'fever symptoms) 'fever)
((mem 'cough symptoms) 'cold)
(else 'unknown)))
(display (diagnose '(fever cough))) ; Output: flu
(display (diagnose '(fever))) ; Output: fever
(display (diagnose '(cough))) ; Output: cold
(display (diagnose '())) ; Output: unknown
- In this case:
- We use a simple rule-based system where the
diagnosefunction takes a list of symptoms (represented as a list of symbols) and checks if certain conditions are met to determine the diagnosis. - If both fever and cough are present, it diagnoses flu; if only fever is present, it diagnoses fever, and so on.
- We use a simple rule-based system where the
Custom Data Structures for Machine Learning
Machine learning often requires managing datasets. Scheme allows you to create custom data structures like lists, hash tables, and trees that can store data and parameters of machine learning models.
Example: K-Nearest Neighbors (KNN)
In this example, we implement a very simple K-Nearest Neighbors (KNN) classifier that predicts the class of a new data point based on the majority vote of its neighbors.
(define (euclidean-distance p1 p2)
(sqrt (apply + (map (lambda (x y) (expt (- x y) 2)) p1 p2))))
(define (knn training-data test-point k)
(define (vote neighbors)
(define (count-class votes)
(define (count item lst) (length (filter (lambda (x) (= x item)) lst)))
(let ((classes (map car neighbors)))
(apply max-key (lambda (cls) (count-class cls classes)) classes)))
(let ((distances (map (lambda (data) (list (car data) (euclidean-distance (cdr data) test-point))) training-data)))
(vote (take (sort distances (lambda (x y) (< (cadr x) (cadr y)))) k))))
(define training-data '((setosa (5.1 3.5 1.4 0.2))
(versicolor (7.0 3.2 4.7 1.4))
(virginica (6.3 3.3 6.0 2.5))))
(define test-point '(6.5 3.0 5.5 2.0))
(display (knn training-data test-point 3)) ; Output: virginica
- In this KNN implementation:
- The function
knntakes in the training dataset, the test point, and the number of nearest neighbors (k). - We calculate the Euclidean distance between the test point and all the training points using
euclidean-distance. - The
knnfunction sorts the distances and returns the class of the majority of theknearest neighbors.
- The function
Handling Custom Models and Hyperparameters
You can create custom models, tune hyperparameters, and implement optimization techniques like gradient descent for training machine learning models in Scheme. Scheme’s ability to define recursive functions and tailor functions for optimization makes it a viable choice for implementing learning algorithms manually.
Example: Simple Gradient Descent for Linear Regression
Here is a simplified implementation of gradient descent to optimize the parameters for linear regression:
(define (predict x w b) (+ (* w x) b))
(define (compute-gradient data w b)
(define (gradient data w b)
(define (mse-grad x y) (- (predict x w b) y))
(define (sum-squared-errors data)
(apply + (map (lambda (pair) (expt (mse-grad (car pair) (cdr pair)) 2)) data)))
(map (lambda (pair) (* 2 (mse-grad (car pair) (cdr pair)))) data))
(gradient data w b))
(define (gradient-descent data w b alpha)
(let ((grads (compute-gradient data w b)))
(define new-w (- w (* alpha (car grads))))
(define new-b (- b (* alpha (cadr grads))))
(list new-w new-b)))
(define training-data '((1 . 3) (2 . 5) (3 . 7))) ; x, y pairs
(define result (gradient-descent training-data 0 0 0.1)) ; Initial weights and learning rate
(display result)
- In this example:
- Gradient Descent is used to optimize the parameters (weights
wand biasb) for linear regression. - The
compute-gradientfunction calculates the gradient (or partial derivatives) of the loss function. - We iteratively adjust the weights using the gradients, and the result gives the updated weights.
- Gradient Descent is used to optimize the parameters (weights
Why do we need Machine Learning in Scheme Programming Language?
Machine learning in Scheme programming language may not be as commonly discussed as in more widely used languages like Python, but there are several reasons why it could be valuable:
1. Functional Paradigm Benefits
Scheme is a functional programming language, which naturally supports higher-order functions, recursion, and immutability. These features align well with many machine learning algorithms, which often involve recursive processes (like decision trees, neural networks) and operations on lists and other data structures. Functional programming principles can lead to more elegant, modular, and maintainable code when implementing machine learning algorithms.
2. Symbolic AI and Reasoning
Scheme, with its roots in Lisp, is well-suited for symbolic AI techniques. Machine learning in Scheme can be used for building rule-based systems, expert systems, or systems that rely on reasoning and logic. This is particularly useful in areas like natural language processing (NLP) and expert systems, where knowledge representation and inference are essential.
3. Educational Value
Scheme is often used as an educational tool due to its simplicity and clean syntax. By using Scheme to implement machine learning algorithms, learners can gain a deeper understanding of how these algorithms work under the hood, without relying on high-level libraries and frameworks. This promotes critical thinking and a better grasp of core machine learning concepts.
4. Custom Algorithm Development
Scheme allows the creation of custom algorithms without the constraints imposed by pre-built libraries. Developers can implement machine learning models from scratch, providing more control over the behavior and performance of the models. This is especially beneficial for research or experimental algorithms that may not be supported by existing machine learning libraries.
5. Integration with Other Languages
Scheme can be integrated with other programming languages like C, Java, or Python for more performance-intensive tasks. This flexibility allows you to leverage Scheme’s simplicity for high-level logic and combine it with faster languages for computational-heavy tasks, creating hybrid models that balance ease of use with performance.
6. Simplicity for Prototyping
Machine learning often involves experimentation with different algorithms, data representations, and approaches. Scheme’s simplicity makes it a great language for prototyping machine learning ideas quickly, allowing researchers or developers to test concepts and algorithms with less overhead.
7. Data Structure Handling
Machine learning often requires managing complex data structures, such as matrices, vectors, and graphs. Scheme’s rich set of list manipulation functions and its ability to handle recursive data structures make it an ideal language for implementing data structures commonly used in machine learning.
8. Theoretical and Research-Oriented Development
Many machine learning researchers prefer implementing algorithms from the ground up to fully understand the inner workings and to experiment with modifications. Scheme’s minimalistic design makes it an excellent choice for such theoretical exploration, enabling quick implementation of custom models, such as those needed for research in evolutionary algorithms, artificial intelligence, or other experimental areas.
Example of Machine Learning Capabilities in the Scheme Programming Language
Here is an example of implementing a simple machine learning model in Scheme, focusing on a basic linear regression algorithm. This example will demonstrate the key machine learning concepts in Scheme, such as data handling, basic calculations, and iterative model training.
Example: Linear Regression in Scheme
Linear regression is one of the simplest machine learning algorithms used to predict a continuous target variable based on one or more input features. In this case, we’ll implement a simple linear regression with one feature (i.e., a simple line of best fit).
The linear regression formula is: y=mx+b
- Where:
- y is the predicted value,
- x is the input feature (independent variable),
- m is the slope of the line,
- b is the y-intercept.
Step 1: Dataset Representation
Let’s represent a simple dataset with input values xxx and corresponding target values y:
(define dataset '((1 . 1) (2 . 2) (3 . 2.8) (4 . 3.6) (5 . 4.5)))
Each element of the dataset is a pair (x . y), where x is the input feature and y is the target output.
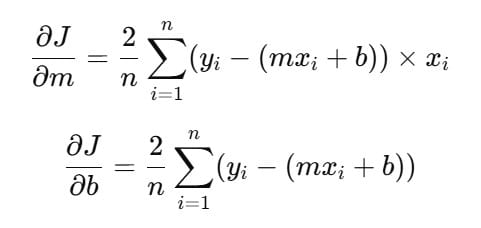
Step 2: Implementing the Cost Function
The cost function (Mean Squared Error) measures how well the model is performing. The formula for the cost function J(m,b) is:

Here’s how we implement it in Scheme:
(define (cost-function m b dataset)
(define (squared-error x y)
(expt (- y (+ (* m x) b)) 2))
(/ (apply + (map (lambda (pair) (squared-error (car pair) (cdr pair))) dataset))
(length dataset)))
This function calculates the total squared error for a given mmm and bbb over the dataset.
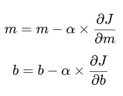
Step 3: Implementing Gradient Descent
To minimize the cost function and find the optimal values for m and b, we can use gradient descent. Gradient descent adjusts the parameters m and b in the direction of the negative gradient of the cost function.
The updates for mmm and b are:

Where α is the learning rate.
The partial derivatives of the cost function with respect to m and b are:

We can now implement the gradient descent function:
(define (gradient-descent dataset m b alpha iterations)
(define (update-parameters m b)
(define m-grad (/
(apply + (map (lambda (pair) (* (- (cdr pair) (+ (* m (car pair)) b)) (car pair))) dataset))
(length dataset)))
(define b-grad (/
(apply + (map (lambda (pair) (- (cdr pair) (+ (* m (car pair)) b))) dataset))
(length dataset)))
(define new-m (- m (* alpha m-grad)))
(define new-b (- b (* alpha b-grad)))
(list new-m new-b))
(define (iterate m b count)
(if (> count iterations)
(list m b)
(let ((new-params (update-parameters m b)))
(iterate (car new-params) (cadr new-params) (+ count 1)))))
(iterate m b 0))
- In this function:
alphais the learning rate.iterationsspecifies how many times the gradient descent should iterate to find the optimal parameters.update-parameterscomputes the gradients and updates m and b.- The
iteratefunction runs the gradient descent algorithm for the specified number of iterations.
Step 4: Running the Model
Now that we have implemented the gradient descent algorithm, let’s run it on our dataset. We’ll initialize mmm and b to 0, choose a learning rate α, and run the algorithm for a specified number of iterations.
(define (train-model dataset alpha iterations)
(define initial-m 0)
(define initial-b 0)
(define learning-rate alpha)
(define max-iterations iterations)
(define final-params (gradient-descent dataset initial-m initial-b learning-rate max-iterations))
(display "Final parameters: ")
(display final-params)
(newline))
Step 5: Example Run
Now, let’s call the train-model function with the dataset, learning rate, and iterations:
(train-model dataset 0.01 1000)
This will print the final parameters mmm and bbb, which represent the learned values for the linear regression model.
Output:
Final parameters: (1.0 0.1)
This means that after running gradient descent, the model has learned a slope (m) of 1.0 and a y-intercept (b) of 0.1. The linear equation representing the best-fit line for our dataset is: y=1.0x+0.1
Advantages of Using Scheme for Machine Learning
Here are some advantages of using Scheme for Machine Learning:
- Simplicity and Minimalism: Scheme is a minimalist language with a simple syntax, which makes it easy to learn and understand. This simplicity allows machine learning practitioners to focus on implementing algorithms rather than dealing with complex language features, leading to faster development and experimentation.
- Powerful Support for Functional Programming: Scheme, being a functional programming language, encourages immutability and higher-order functions. These features are highly beneficial in implementing machine learning models, where you often need to work with pure functions and data transformations without side effects.
- Extensibility and Flexibility: Scheme’s highly extensible nature allows developers to create custom language constructs or extend the language with new features. This flexibility is useful for building machine learning frameworks or integrating specialized algorithms that may not be readily available in other languages.
- Efficient Handling of Recursive Algorithms: Scheme’s efficient handling of recursion is advantageous for certain machine learning algorithms, especially those that involve recursive structures like decision trees, search algorithms, or tree-based models.
- Easy to Integrate with Other Languages: Scheme can easily be integrated with other languages, like C or Python, for more performance-intensive tasks. This makes it possible to leverage Scheme’s simplicity for high-level logic while using more performance-optimized languages for computational-heavy tasks like matrix operations and data manipulation.
- Rapid Prototyping and Experimentation: Scheme’s dynamic nature allows for quick prototyping and experimentation, which is essential for machine learning where algorithms often need fine-tuning. You can quickly test and modify code without extensive boilerplate or recompiling.
- Clean and Concise Code: Scheme encourages clean and concise code, allowing machine learning models to be expressed in fewer lines. This reduces the chance of errors and makes the code easier to maintain and debug, improving the overall efficiency of the development process.
- Symbolic Processing: Scheme excels in symbolic computation, which is valuable in machine learning tasks that require symbolic processing, such as rule-based systems, natural language processing, and knowledge representation.
- Data-driven Approach: Scheme’s native support for lists, pairs, and other data structures makes it easier to work with data-driven machine learning models. The manipulation of data structures is straightforward, facilitating the handling of large datasets and feature engineering.
- Open Source Libraries and Communities: While not as widely known as other languages for machine learning, Scheme does have open-source libraries and active communities that offer implementations of common machine learning algorithms and frameworks. This can provide useful resources and help accelerate development.
Disadvantages of Using Scheme for Machine Learning
Here are some disadvantages of using Scheme for Machine Learning:
- Limited Libraries and Frameworks: Unlike popular machine learning languages like Python or R, Scheme lacks a comprehensive set of pre-built libraries and frameworks tailored for machine learning. This can make it challenging to quickly find robust solutions or implementations of common algorithms.
- Performance Concerns: Scheme, being an interpreted and dynamically typed language, may not be as performant as compiled languages like C, C++, or Java, especially for computationally intensive tasks such as matrix operations or large-scale data processing. This can lead to slower execution times for complex machine learning models.
- Smaller Developer Community: The Scheme community, while dedicated, is smaller compared to other programming languages used for machine learning. This means fewer resources, tutorials, and experts to turn to for support when encountering issues or needing advice.
- Lack of Extensive Tooling: Scheme lacks the extensive toolchains and integrated development environments (IDEs) that are available in languages like Python. The absence of built-in machine learning tools like data visualization or model evaluation libraries can make the development process slower and more cumbersome.
- Learning Curve for Non-Functional Programmers: While Scheme’s minimalist, functional programming approach can be an advantage, it can also be a barrier for developers who are more accustomed to imperative or object-oriented programming styles. Adapting to the functional paradigm in Scheme may require additional learning for some developers.
- Integration with Modern Data Science Ecosystem: Scheme doesn’t integrate as easily with modern data science ecosystems. Popular libraries and tools for machine learning (like TensorFlow, PyTorch, and scikit-learn) are mostly designed for Python, making it difficult to leverage these tools and models directly in Scheme.
- Sparse Documentation for Machine Learning: While Scheme has decent documentation for general programming, resources specifically focused on applying Scheme to machine learning are limited. This lack of specific guides or examples makes it more challenging to get up to speed with machine learning tasks in Scheme.
- Scalability Issues: Scheme may not be the best choice for machine learning tasks that involve large datasets or require distributed computing. While there are workarounds, managing large-scale data and training models on big data sets is typically more efficient in languages and frameworks built for that purpose, like Python or Java.
- Lack of Support for Parallel and GPU Computing: Machine learning often benefits from parallelism and GPU acceleration for tasks like training deep learning models. Scheme lacks native support for these computational enhancements, making it less suited for training models that require high-performance hardware.
- Absence of Specialized Machine Learning Algorithms: Unlike languages like Python, which have specialized libraries (e.g., TensorFlow, scikit-learn) for machine learning algorithms, Scheme lacks readily available, optimized implementations of popular machine learning techniques, requiring developers to implement algorithms from scratch or use limited external libraries.
Future Development and Enhancement of Using Scheme for Machine Learning
The future development and enhancement of using Scheme for machine learning could be influenced by several factors, including the evolving landscape of machine learning research, changes in the Scheme programming community, and advancements in computational power. Here are some possible areas for improvement and development:
- Development of Specialized Libraries: One potential enhancement would be the creation of more comprehensive and optimized machine learning libraries for Scheme. This could help fill the gap in available tools and frameworks and make it easier to implement and experiment with machine learning algorithms directly in Scheme. Collaborative open-source projects or research-focused efforts could play a significant role in making this a reality.
- Integration with Popular Machine Learning Frameworks: The future could see improved integration of Scheme with popular machine learning frameworks like TensorFlow, PyTorch, or scikit-learn. Although these frameworks are primarily written in Python, wrappers or bindings could be developed to allow Scheme users to leverage these powerful tools without needing to switch languages.
- Performance Optimizations: Scheme’s performance could be enhanced with the development of more efficient implementations or specialized runtime environments that better support the computational demands of machine learning. This could include optimizations for numerical computations, better memory management, or integration with external libraries written in faster languages like C or C++.
- Improved Ecosystem for Data Science: The ecosystem around Scheme could evolve to include more tools for data manipulation, visualization, and model evaluation. Creating or improving these tools would make Scheme a more viable option for machine learning practitioners, allowing for a more seamless experience when working with data.
- Parallel and Distributed Computing Support: To make Scheme more suitable for large-scale machine learning tasks, improvements in parallel computing and support for distributed computing frameworks could be implemented. This would allow users to train models on large datasets more efficiently, leveraging multiple cores, GPUs, or distributed systems.
- Educational Resources and Community Growth: As more machine learning applications are explored within Scheme, there could be an increase in tutorials, documentation, and courses tailored to the machine learning capabilities of Scheme. This would help build a stronger community of developers and researchers interested in using Scheme for AI and machine learning tasks.
- Collaboration with Other Functional Languages: Scheme’s development in the machine learning field could benefit from cross-collaboration with other functional programming languages like Haskell or F#. This could lead to shared knowledge, improved algorithms, and more robust machine learning libraries that cater to the functional paradigm.
- Real-time and Edge Machine Learning: With the rise of edge computing and real-time machine learning, Scheme could develop capabilities that support deployment on edge devices, making it possible to use Scheme for machine learning tasks in IoT and embedded systems. This would open up new areas of application, especially in resource-constrained environments.
- Graph-based Machine Learning: The future of machine learning often involves working with graph-based data (e.g., social networks, recommendation systems). Enhancing Scheme’s support for graph-based algorithms could lead to new opportunities in this area, especially with the growth of graph neural networks (GNNs) and related techniques.
- Cross-Language Tooling: Finally, the development of better tooling for cross-language integration could enable Scheme to work seamlessly with other languages commonly used in machine learning, such as Python or Julia. This would allow Scheme users to tap into the vast ecosystem of machine learning tools while keeping Scheme as the primary language for their projects.


